René Bousquet cet inconnu : L'homme et Vichy de Guy Bousquet

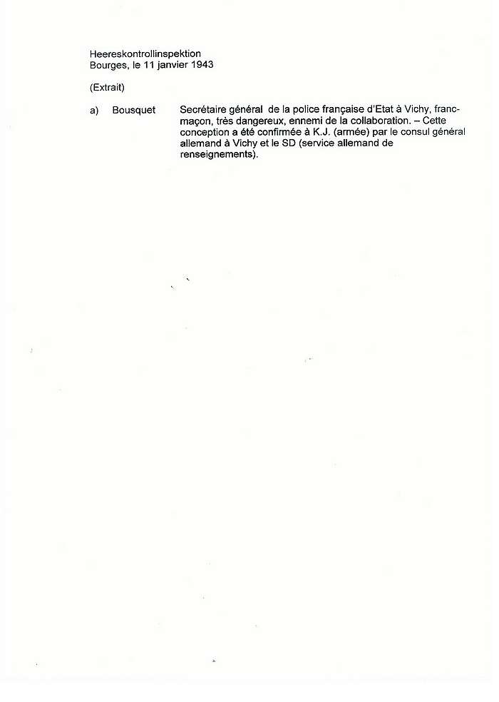
Jugement allemand sur la police et René Bousquet

 

Page précédente

 

Fermer la fenêtre Fermer la fenêtre